Home About Notes Resources Archive Contact
Banner Image
Homepage

Chladni Patterns - The Wave Equation Model

Take a solid metal plate (or any other rigid material) and sprinkle some particles on it. It can either be sand, salt, or even baking soda. Then, generate some vibration on the plate by using either a violin bow to excite the plate, or place it on a wave generator and set it to specific frequencies. What you will observe are the beautiful patterns generated as shown in the figure. This experiment sounds relatively simple, but as simple as it sounds, this experiment reveals some extremely complex and intensive underlying mathematical principles.

Ok, so how does this work? Well, it turns out these are examples of standing waves in the two-dimensional space. In one dimension, a “node” in a standing wave is a point along the wave where the amplitude is at minimum. Similarly, in two dimensions, there are “nodal lines,” which are static points or lines on the plate where the particles settle.

Read More
Chladni plate
Chladni Patterns on a Square Plate.

Posts

Articles

The Quest to Finding Chladni Patterns, Part 1: Theory and Algorithms
The Quest to Finding Chladni Patterns, Part 1: Theory and Algorithms
Tags: Python, Eigenvalue Problems, PDEs, Numpy
Solve the two-dimensional wave equation via separation of variables and design algorithms to plot Chladni's pattern using the wave equation model.
Accelerating Feature Extraction and Image Stitching Algorithm Using Nvidia CUDA
Accelerating Feature Extraction and Image Stitching Algorithm Using Nvidia CUDA
Tags: C++, OpenCV, MPI, OpenMP, Computer Vision, Image Processing, Multithreading, CUDA
Accelerate ORB, feature matching, warping, seam finding, and image composition using C++ OpenCV and CUDA.
Maxima and Minima of an n-th Dimensional Function - The Hessian Matrix
Maxima and Minima of an n-th Dimensional Function - The Hessian Matrix
Tags: Python, Hessian Matrix, Fermat's Theorem
Utilizing the Hessian matrix and related numerical methods to find maxima/minima/saddle point.
The Quest to Finding Chladni Patterns, Part 2: Codes and Results
The Quest to Finding Chladni Patterns, Part 2: Codes and Results
Tags: Python, Eigenvalue Problems, PDEs, Numpy
Plotting a series of Chladni's patterns using the wave equation model.
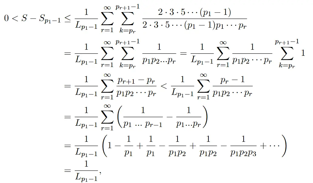
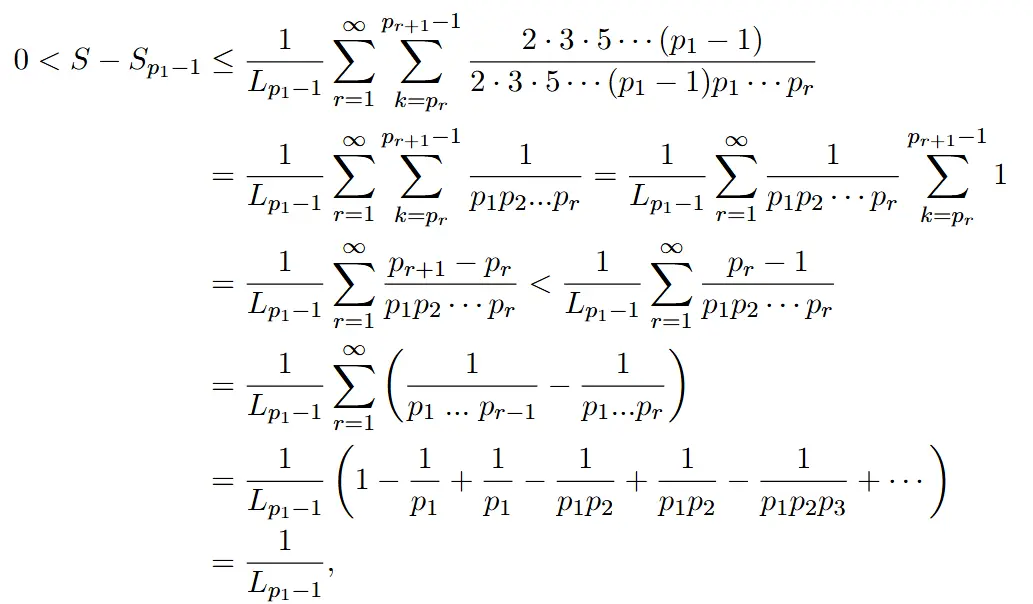
My Favorite Problems of All Time
My Favorite Problems of All Time
Tags: Math, Induction, Contradiction
A collection of some of my favorite math problems that I've encountered throughout the years.
The Quest to Finding Chladni Patterns, Part 3: The Biharmonic Wave Equation
The Quest to Finding Chladni Patterns, Part 3: The Biharmonic Wave Equation
Tags: Python, Eigenvalue Problems, PDEs, Numpy, Biharmonic Equation
Explaining Chladni's patterns via the Biharmonic wave equation model. Introducing the Kirchoff-Love plate.
Algorithmic Analysis of an Algorithm
Algorithmic Analysis of an Algorithm
Tags: Data Structures and Algorithm, C++, Python
Theoretical basics about time-complexity of an algorithm, how to measure the time-complexity of a function, examples of algorithms.
Simulating Moment of Inertia with OpenGL and GLM
Simulating Moment of Inertia with OpenGL and GLM
Tags: Classical Mechanics, Dynamics of Rotation
If mass is an object's resistance to change of motion due to force, then moment of inertia is its resistance to rotation due to torque. Unlike mass, moments of inertia varies based on shapes and axis of rotations.